This post takes a step off the beaten track to explore a hidden issue: airborne microplastic pollution in mountainous environments. Microplastics are everywhere — from the deepest oceans to the highest mountain peaks. But have you ever wondered how microplastic pollution makes its way into such remote environments?
Well, I did. That curiosity led me to undertake a research project this year exploring how airborne microplastic pollution is influenced by mountainous terrain and the weather.
While global studies often focus on far-flung alpine environments, my research stayed closer to home. Restricted to the UK, I wasn’t climbing Everest, but I could still investigate how these invisible pollutants accumulate across our very own British mountains.
Finding the right peaks
To select suitable sites, I turned to a publicly available “wilderness index.” This dataset ranks mountains by their remoteness (distance from roads and cities), elevation, prominence, and typical weather conditions such as wind and humidity. Using this tool, I identified five peaks that offered ideal conditions for study:
- Fountains Fell
- Tarn Rigg
- Great Whernside
- The Calf
- Cross Fell
Why this matters
By studying these locations, I hoped to uncover how wind patterns, mountain orientation, and local weather shape the transport and deposition of microplastics. Understanding these processes is essential, because if plastics can travel to remote UK summits, they can travel anywhere.
Catching plastics on the wind
The next challenge was figuring out how to catch airborne microplastics. Commercial equipment wasn’t designed for remote mountains, so I designed and built my own lightweight, portable collectors.

Each mountain got six collectors — three placed on the windward side (facing into the wind) and three on the leeward side (sheltered side).
The collectors stayed in place for up to 20 hours, quietly filtering the air and trapping particles carried on the wind. After collection, I carefully sealed them and transported them back to the lab for analysis.

From mountains to microscope
Back in the lab, the real detective work began. I used a technique called Fourier-transform infrared (FT-IR) microscopy to analyse the filters. FT-IR works by shining infrared light onto a particle and recording how the light is absorbed. Every material interacts with infrared in a unique way — almost like a fingerprint.
By comparing these “spectral fingerprints” with known reference materials, I could identify which particles were plastics and which were natural materials like dust or plant fragments. In short: if a particle’s fingerprint matched that of polyethylene, rubber, polyamide or another polymer, it was confirmed as a microplastic.
What I discovered
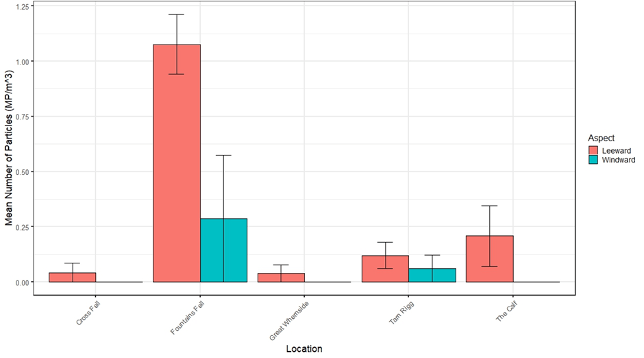
Airborne microplastics turned up on every single mountain I sampled. Even in remote British peaks, these tiny fragments of plastic pollution are present in the air we breathe.
Across all sites, I found a consistent pattern: the leeward (sheltered) side of the mountain contained more airborne microplastics — averaging 0.30 MP/m³ — compared to just 0.07 MP/m³ on the windward (exposed) side. This suggests that mountains act a bit like sieves, with the wind carrying particles up one side and depositing them on the other.

I also discovered an interesting link with weather. When winds were stronger, fewer microplastics were detected. The most likely explanation is that during high winds, microplastics are lifted and carried long distances, effectively bypassing the mountains. But during calmer conditions, they settle out of the air, leading to higher concentrations — and potentially greater deposition — in mountain environments.
What this means
The main findings show that airborne microplastic concentrations are consistently higher on the leeward (sheltered) side of mountains compared to the windward (exposed) side. This suggests that mountain topography plays a key role in shaping how microplastics are transported and deposited.
I also found a negative relationship between wind speed and microplastic concentration. In calmer conditions, more microplastics were present — likely because weaker winds reduce atmospheric mixing and allow particles to settle out. In contrast, stronger winds appear to keep microplastics in motion, carrying them further afield.
Together, these findings highlight how both mountain aspect and wind conditions strongly influence where airborne microplastics accumulate, even in remote environments.
Looking at the bigger picture
What this research shows is that microplastic pollution doesn’t just stop at coastlines, cities, or rivers — it is carried by the wind into some of the most remote parts of our landscape. Mountain topography and local weather conditions play a major role in shaping where these particles accumulate, with leeward slopes and calmer conditions acting as hotspots.
The fact that airborne microplastics can reach and linger in such isolated places is a reminder of just how far-reaching our plastic footprint has become. Understanding this transport is vital, not only for assessing environmental impacts but also for considering the potential risks to ecosystems, climate, and even human health.


